Introducir Ecuaciones Word 2003
Word dispone de un editor de ecuaciones el cual nos ayuda a introducir ecuaciones y fórmulas matemáticas.
Por defecto el editor de ecuaciones no viene instalado, para poder utilizarlo debemos instalarlo siguiendo los siguientes pasos:
Nota: Para que la instalación sea correcta debemos tener cerrado Word.
Accedemos desde el botón Inicio a Configuración - Panel de control.
Agregar o quitar programas.
Seleccionamos Microsoft Office 2003 y presionamos sobre Cambiar
Seleccionamos Agregar o quitar funciones y presionamos sobre Siguiente.
Marcamos la opción Elegir personalización avanzada de aplicaciones y pulsamos Siguiente.
Abrimos el árbol de Herramientas de Office.
Hacemos clic sobreEditor de ecuaciones.
Seleccionamos Ejecutar desde mi PC.
Pulsamos sobre Actualizar y comienza con la actualización.
La próxima vez que abramos Word ya podremos utilizar el editor de ecuaciones.
Para abrir el editor de ecuaciones debemos acceder al menú Insertar - Objeto...
Se nos abre un cuadro de diálogo como el que vemos en la imagen donde podemos seleccionar el tipo de objeto que deseamos insertar con la correspondiente herramienta.
Se debe seleccionar Microsoft Editor de ecuaciones 3.0 y pulsar sobre Aceptar.
Nos aparece una nueva hoja en blanco con un recuadro donde podemos insertar la ecuación/formula que deseemos.
Además de esto nos aparece un nuevo menú flotante con las distintas expresiones matemáticas de las que dispone el editor.
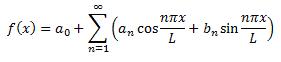
Un ejemplo de cómo quedaría una ecuación hecha con el editor de ecuaciones sería como el siguiente.
Esta es la ecuación vista desde el editor de ecuaciones.
Y esta es la misma ecuación vista desde fuera del editor, desde el documento de word que estábamos desarrollando.
Introducir Ecuaciones Word 2007
Para utilizar el editor de ecuaciones debemos acceder a la pestaña Insertar, dentro del grupo de herramientasSímbolos se encuentra la herramienta Ecuación y la herramienta Símbolo.
Al hacer clic en la herramienta Ecuación, se abren las herramientas de Diseño de ecuaciones. Dichas herramientas se agrupan enHerramientas, Símbolos y Estructuras.
También se observa en la hoja un lugar específico donde podemos insertar la ecuación/formula que deseemos.
Esta es la ecuación vista en el cuadro editor de ecuaciones.
Y esta es la misma ecuación vista desde fuera del editor, desde el documento de Word que estábamos desarrollando.
Pregunta: Este capitulo nos enseño comu utilizar un editor de: